
https://www.acmicpc.net/problem/2252
2252번: 줄 세우기
첫째 줄에 N(1 ≤ N ≤ 32,000), M(1 ≤ M ≤ 100,000)이 주어진다. M은 키를 비교한 회수이다. 다음 M개의 줄에는 키를 비교한 두 학생의 번호 A, B가 주어진다. 이는 학생 A가 학생 B의 앞에 서야 한다는 의
www.acmicpc.net
1. 접근
문제 속 요구사항은 일부 학생들의 키 비교 입력을 기준으로 전체 학생들을 줄 세우면 되는 문제입니다.
하단 알고리즘 분류를 보시면 알겠지만 그래프를 활용한 문제인데 직접적으로 그래프라고 알려주진 않습니다.
또한, 위 문제는 위상 정렬을 활용한 문제로 해당 알고리즘을 모르신다면 간단하게 보고 오시는 걸 추천드립니다!
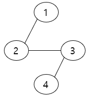
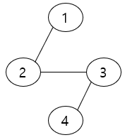
앞서 그래프를 활용해야 한다고 말했으니 예제 2번을 통해 그래프를 만들어보면 다음과 같습니다.

정점 = 학생번호
간선 = 키 비교 데이터
그림의 하단을 앞이라고 가정했을 때 예제 입력 2번이 충족된 그래프입니다.
(4번이 2번보다 앞에 있다, 3번이 1번보다 앞에 있다.)
물론 위 조건대로 세우면 다른 방법으로도 줄을 세울 수 있지만 문제 속 지문에서 상관없다고 하니 아무거나 출력해주도록 합시다!

2. 풀이
변수 세팅
static int N, M;
static ArrayList<Integer>[] graph;
static int[] indeg;
public static void main(String[] args) throws IOException {
st = new StringTokenizer(br.readLine());
N = Integer.parseInt(st.nextToken());
M = Integer.parseInt(st.nextToken());
indeg = new int[N + 1];
graph = new ArrayList[N + 1];
for (int i = 1; i <= N; i++) graph[i] = new ArrayList<>();
for (int i = 1; i <= M; i++) {
st = new StringTokenizer(br.readLine());
int x = Integer.parseInt(st.nextToken()), y = Integer.parseInt(st.nextToken());
graph[x].add(y);
indeg[y]++; // y로 들어가는 간선 개수 추가
}
solution();
}
탐색 및 정답 출력
static void solution() {
Deque<Integer> queue = new LinkedList<>();
// 들어가는 간선이 없다면 누구든 앞에 갈 수 있다.
for (int i = 1; i <= N; i++) {
if (indeg[i] == 0) queue.add(i);
}
while(!queue.isEmpty()) {
int x = queue.poll();
sb.append(x).append(' ');
// graph X와 연결된 정점들을 확인한다.
for (int y : graph[x]) {
indeg[y]--; // 방문했으니 들어가는 간선이 하나 줄어든다.
if (indeg[y] == 0) queue.add(y);
}
}
System.out.println(sb.toString());
}
3. 전체 코드

'알고리즘 > 백준' 카테고리의 다른 글
| 백준 9470 Strahler 순서[Java] (0) | 2021.12.29 |
|---|---|
| 백준 2623 음악프로그램 [JAVA] (0) | 2021.12.28 |
| 백준 14267 회사 문화 1 [JAVA] (0) | 2021.12.27 |
| 백준 15681 트리와 쿼리 [Java] (0) | 2021.12.23 |
| 백준 1068 트리 Java (0) | 2021.12.22 |