
https://www.acmicpc.net/problem/15681
15681번: 트리와 쿼리
트리의 정점의 수 N과 루트의 번호 R, 쿼리의 수 Q가 주어진다. (2 ≤ N ≤ 105, 1 ≤ R ≤ N, 1 ≤ Q ≤ 105) 이어 N-1줄에 걸쳐, U V의 형태로 트리에 속한 간선의 정보가 주어진다. (1 ≤ U, V ≤ N, U ≠ V)
www.acmicpc.net
1. 접근
특이하게 힌트가 주어진 문제다.
트리의 정의에 대해 잘 모르시는 분은 힌트의 앞부분부터 읽고 이해한 후 문제에 접근하는 게 맞고
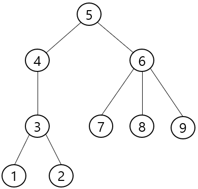
그게 아니라면 5번을 정점으로 트리 그림부터 보면 이해가 편하다.
문제는 간결하고 힌트는 이론부터 설명하기에 복잡해질 수 있는데 간단히 생각하기 위해 예제 입력을 하나하나 그림으로 뜯어보자.
첫째 줄 = 9(정점의 수), 5(루트로 하는 노드의 번호), 3(쿼리의 수)
두번째 줄 ~ 정점의 수 - 1 = 간선 정보

마지막 쿼리의 수만큼의 줄 = 서브 트리에 속한 정점의 개수를 알고 싶은 노드 번호 (5, 4, 8)
첫 번째 쿼리는 5로 입력 루트와 같기에 입력 정점의 수와 동일.
두 번째 쿼리는 4로 4번 노드를 정점으로 하는 서브 트리의 정점의 개수

마지막 쿼리는 8로 8번 노드를 정점으로 하는 서브 트리의 정점의 개수

단, 입력 조건을 본다면 매 쿼리마다 독립된 트리를 만들어 탐색하면 시간 초과로 인해 문제를 풀 수 없으니 한 번 탐색하는 김에 각 정점을 루트로 했을 때의 개수를 카운트해두면?


매 쿼리마다 확인할 필요 없이 만들어둔 배열의 쿼리 번째 인덱스만 호출하면 그 값을 알 수 있다!
2. 풀이
변수 세팅
static int N, R, Q;
static int[] qArr, cnt;
static ArrayList<Integer>[] tree;
public static void main(String[] args) throws IOException {
st = new StringTokenizer(br.readLine());
N = Integer.parseInt(st.nextToken());
R = Integer.parseInt(st.nextToken());
Q = Integer.parseInt(st.nextToken());
cnt = new int[N + 1];
tree = new ArrayList[N + 1];
for (int i = 1; i <= N; i++) tree[i] = new ArrayList<>();
for (int i = 1; i < N; i++) {
st = new StringTokenizer(br.readLine());
// 문제에서의 그래프는 가중치 없는 무방향 그래프이다.
int x = Integer.parseInt(st.nextToken()), y = Integer.parseInt(st.nextToken());
tree[x].add(y);
tree[y].add(x);
}
qArr = new int[Q];
for (int i = 0; i < Q; i++) qArr[i] = Integer.parseInt(br.readLine());
solution();
}
탐색 및 정답 출력
static void solution() {
DFS(R, -1); // 시작점은 임의의 루트 R로 한다.
for (int x : qArr) sb.append(cnt[x]).append("\n");
System.out.println(sb.toString());
}
탐색
static void DFS(int x, int prevNode) {
cnt[x] = 1; // 루트 또한 간선의 개수에 포함된다.
for (int y : tree[x]) {
if (y == prevNode) continue; // 방문한 노드는 재 방문하지 않는다.
DFS(y, x);
cnt[x] += cnt[y]; // 상위 노드에 간선의 개수를 누적한다.
}
}
3. 전체 코드

'알고리즘 > 백준' 카테고리의 다른 글
| 백준 2252 줄 세우기 [JAVA] (0) | 2021.12.28 |
|---|---|
| 백준 14267 회사 문화 1 [JAVA] (0) | 2021.12.27 |
| 백준 1068 트리 Java (0) | 2021.12.22 |
| 백준 9489 사촌 Java (0) | 2021.12.22 |
| 백준 1240 노드사이의 거리 Java (2) | 2021.12.20 |